2018年04月21日 星期六

张重远等-RMRE:不同温度与循环正应力作用下共和花岗岩粗糙裂隙的渗透率演化:实验测量与解析模型

作者:张重远 发布时间:2024-09-14
  随着全球对可持续能源解决方案的需求日益增长,地热能作为一种清洁、可再生的能源,其开发与利用受到了广泛关注。然而,地热能开发过程中的岩石裂隙渗透性变化及其对储层稳定性的影响,是当前亟待解决的关键科学问题。在地热能的开发过程中,岩石裂隙的渗透性直接关系到热能的提取效率和流体的流动特性。渗透性的变化可能由多种因素引起,包括但不限于岩石的物理特性、裂隙的几何形态、以及地热场中的应力状态等。因此,深入研究地热能开发中岩石裂隙渗透性的演变规律,对于优化地热能的开发策略、提高能源提取效率、以及确保地热能开发的安全性具有重要意义。
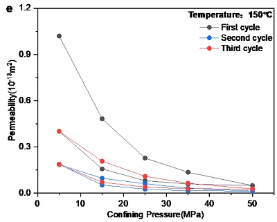
  鉴于上述背景,中国地质科学院地质力学研究所张重远研究员及其团队针对青海共和盆地的共和花岗岩,通过高温条件下的循环正应力加载实验,深入探究了粗糙裂隙面的渗透性演变规律(图1)。实验结果表明,随着正应力的增加,裂隙面的渗透性逐渐降低,而在正应力释放后,渗透性部分恢复(图2)。研究团队基于实验数据,结合Hopkins裂隙闭合模型和Nishihara模型,发展了一种新的裂隙蠕变变形模型(图3)。该模型能够通过裂隙面几何特征参数测量和表征,准确预测在加载和卸载过程中裂隙变形及相应的渗透率变化(图4),为地热储层的渗透性演化提供了一个全新的分析工具。
  此项研究的成果,不仅在理论上推动了对高温条件下裂隙渗透性变化机制的理解,而且在实际应用中,为地热能的高效、安全开发提供了重要的指导。通过深入分析裂隙在不同应力状态下的渗透性变化,研究为地热储层的管理和优化提供了科学依据,有助于提高地热能的提取效率,同时降低开发过程中可能引发的环境风险(如诱发地震)。这对于促进地热能作为一种清洁能源的广泛应用,实现能源结构的优化和可持续发展具有重要的战略意义。
  研究成果近期发表在岩石力学与工程Top期刊《Rock Mechanics and Rock Engineering》上(Fan, D., Zhang, C., Ji, Y. et al. Permeability Evolution of Rough Fractures in Gonghe Granite Subjected to Cyclic Normal Stress at Elevated Temperatures: Experimental Measurements and Analytical Modeling. Rock Mech Rock Eng (2024). https://doi.org/10.1007/s00603-024-04141-9)。联合培养博士范栋珏为论文第一作者,张重远研究员为通讯作者。研究工作由国家自然科学基金(No.42177175、41807222)、中国地质调查局项目(No.DD20190138)和中国地质科学院研究基金(No.DZLXJK202204)联合资助。
   
  图1 高温条件下的循环正应力加载实验示意图
  
  
  
  图2 渗透率测量结果
  
  
  图3 裂隙变形计算模型示意图
  
  
  
  图4 模型计算结果

扫描二维码分享